Comprender el criterio de Kelly en el juego

sobre Kelly Criterion

Los juegos de azar tienen tanto que ver con la estrategia como con la suerte. Ya sea jugando al póquer, apostando en deportes o tirando los dados en el casino, uno de los mayores retos es decidir cuánto apostar. ¿Debería apostarlo todo o ir a lo seguro? Esta decisión puede significar distinguir entre salir ganador o perderlo todo.

Conozca el Criterio de Kelly, una fórmula matemática considerada revolucionaria para los jugadores. Desarrollado en los años 50 por John L. Kelly Jr., un científico de los Laboratorios Bell, el Criterio de Kelly ofrece una forma sistemática de determinar el tamaño óptimo de una apuesta. Pero, ¿cómo funciona exactamente y puede realmente inclinar las probabilidades a su favor?

En este artículo de Casinoz, exploraremos los principios, ventajas y limitaciones del Criterio de Kelly.

Conceptos básicos del Criterio de Kelly

El Criterio de Kelly es una fórmula matemática que ayuda a jugadores e inversores a determinar el tamaño óptimo de una apuesta o inversión para maximizar el crecimiento a lo largo del tiempo.

En esencia, el Criterio de Kelly no trata sólo de ganar apuestas individuales, sino de asegurar el éxito a largo plazo gestionando cuidadosamente el riesgo y la recompensa.

¿Qué es el Criterio Kelly?

El Criterio de Kelly es una estrategia que le indica exactamente qué parte de su bankroll debe apostar en una determinada apuesta en función de las probabilidades y de su probabilidad de ganar. A diferencia de las estrategias de apuestas que pueden centrarse en maximizar los beneficios inmediatos o minimizar las pérdidas, el Criterio de Kelly busca el equilibrio sugiriendo un tamaño de apuesta que maximice su crecimiento potencial a largo plazo.

Esta fórmula es especialmente útil en situaciones en las que tiene un valor esperado positivo, lo que significa que las probabilidades están a su favor y tiene más probabilidades de ganar que de perder.

Cuando se utiliza correctamente, el Criterio de Kelly le ayuda a no apostar demasiado (lo que podría acabar con usted con una sola pérdida) ni demasiado poco (lo que podría frenar su crecimiento).

Contexto histórico: Los orígenes del Criterio de Kelly

El Criterio de Kelly fue introducido por John L. Kelly Jr., un investigador de los Laboratorios Bell, en 1956. Kelly desarrolló la fórmula para resolver un problema de teoría de la información, concretamente, cómo optimizar la transmisión de datos a través de un canal ruidoso. Sin embargo, las aplicaciones prácticas del Criterio de Kelly se extendieron rápidamente más allá de las telecomunicaciones.

Los jugadores, en particular, se sintieron atraídos por el Criterio de Kelly por su promesa de maximizar la riqueza a largo plazo. Inversores famosos como Warren Buffett y Bill Gross también han atribuido al Criterio de Kelly su influencia en sus estrategias de inversión. Con los años, se ha convertido en una herramienta popular no sólo en los juegos de azar, sino también en las finanzas, donde se utiliza para determinar la asignación óptima de activos en una cartera.

Por qué es importante el criterio de Kelly

El Criterio de Kelly ha ganado tanta popularidad porque ofrece una forma clara y racional de enfocar el juego y la inversión. Mediante el uso de esta fórmula, puede evitar las trampas comunes de las apuestas excesivas, que pueden conducir a pérdidas catastróficas, y las apuestas insuficientes, que pueden dar lugar a oportunidades perdidas.

En esencia, el Criterio Kelly se basa en la disciplina y la precisión. Elimina las conjeturas de las apuestas proporcionando un método con base científica para decidir cuánto apostar. Cuando se aplica correctamente, puede ayudarle a lograr un crecimiento constante y sostenible, tanto si está sentado en una mesa de póquer como si gestiona una cartera de acciones.

La fórmula y cómo funciona

Para comprender realmente el poder del Criterio de Kelly, es esencial entender la fórmula en detalle y cómo se puede aplicar en escenarios prácticos. Esta sección desglosará la fórmula paso a paso y proporcionará un ejemplo claro de cómo funciona en una situación típica de juego.

Desglose de la fórmula del criterio de Kelly

La fórmula del Criterio de Kelly está diseñada para calcular la fracción óptima de su bankroll para apost ar en una apuesta. Esta es la fórmula.

Fórmula del criterio de Kelly

Vamos a desglosarla:

  • f: Es la fracción de su bankroll total que debe apostar. Si f es igual a 0,1, por ejemplo, debería apostar el 10% de su bankroll en esa apuesta concreta.
  • b: Representa la cuota que recibirás en la apuesta, expresada en decimales. Por ejemplo, si está apostando en una carrera de caballos y la cuota del caballo es 3:1, entonces 𝑏 b sería 3.
  • p: Es la probabilidad de que gane su apuesta. Por ejemplo, si cree que hay un 60% de probabilidades de que gane su apuesta, entonces 𝑝 p sería 0,6.
  • q: Es la probabilidad de perder la apuesta, que es simplemente 1 - 𝑝 1-p. En nuestro ejemplo, si 𝑝 p es 0,6, entonces 𝑞 q sería 0,4.

La fórmula básicamente calcula cuánto debe apostar para maximizar el crecimiento de su bankroll a lo largo del tiempo, teniendo en cuenta tanto las probabilidades como su probabilidad percibida de ganar.

Ejemplo de cálculo: Aplicación del criterio de Kelly

Veamos un ejemplo práctico de cómo funciona el Criterio de Kelly.

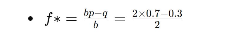
Escenario: Está apostando en un partido de fútbol en el que su equipo tiene una cuota de 2:1 (b = 2). Cree que su equipo tiene un 70% de posibilidades de ganar (p = 0,7).

Paso 1: En primer lugar, calcula el valor de q.

Cálculo del Criterio de Kelly

Paso 2: A continuación, introduzca los valores en la fórmula del criterio de Kelly.

Cálculo del Criterio de Kelly

Paso 3: Simplifique la ecuación.

Cálculo del Criterio de Kelly

Resultado: Según el Criterio de Kelly, debería apostar el 55% de su bankroll en esta apuesta.

Esto puede parecer un gran porcentaje, pero recuerde que el Criterio de Kelly está diseñado para maximizar el crecimiento a largo plazo, suponiendo que sus estimaciones de probabilidad son exactas y la apuesta se repite en el tiempo.

Interpretación del resultado

La fracción calculada por el Criterio de Kelly le indica qué parte de su bankroll debe arriesgar para optimizar sus ganancias a largo plazo. En nuestro ejemplo, apostar el 55% de su bankroll refleja su confianza en las posibilidades de su equipo y en las probabilidades favorables.

Sin embargo, es importante tener en cuenta que el Criterio de Kelly es sensible a la exactitud de sus estimaciones de probabilidad. Si su estimación de la probabilidad de ganar (p) es errónea, la fórmula podría sugerirle un tamaño de apuesta demasiado agresivo o demasiado conservador.

¿Qué ocurre si el Criterio de Kelly sugiere apostar una fracción grande?

Cuando se utiliza el Criterio de Kelly, no es raro que la fracción calculada parezca grande, especialmente cuando las probabilidades están significativamente a su favor. Aunque la fórmula teóricamente maximiza el crecimiento de su bankroll a largo plazo, apostar un porcentaje tan alto podría no ajustarse a su tolerancia personal al riesgo.

En la práctica, muchos jugadores e inversores optan por utilizar una estrategia de Kelly fraccional, en la que apuestan un porcentaje menor de lo que sugiere el Criterio de Kelly (por ejemplo, la mitad o una cuarta parte de 𝑓 ∗ f∗). Este enfoque reduce la volatilidad potencial sin dejar de aspirar al crecimiento.

Ventajas de utilizar el criterio de Kelly

El Criterio de Kelly está ampliamente considerado como una de las estrategias más eficaces para optimizar el tamaño de las apuestas en el juego y la inversión. Su principal fortaleza reside en su capacidad para equilibrar el riesgo y la recompensa, lo que lo convierte en una poderosa herramienta para maximizar la riqueza a largo plazo. A continuación, profundizaremos en las principales ventajas de utilizar el Criterio de Kelly.

Apuesta optimizada para el crecimiento a largo plazo

Una de las ventajas más significativas del Criterio de Kelly es que se centra en el crecimiento a largo plazo en lugar de en las ganancias a corto plazo. A diferencia de otras estrategias de apuestas que pueden fomentar las apuestas agresivas o la precaución extrema, el Criterio de Kelly establece un equilibrio. Sugiere un tamaño de apuesta que maximiza la tasa de crecimiento esperada de su bankroll a lo largo del tiempo, asegurando que usted construye riqueza de manera constante sin asumir riesgos innecesarios.

  • Maximización de la riqueza: Al apostar según el Criterio de Kelly, se asegura de que su bankroll crezca al ritmo más rápido posible. La estrategia está diseñada para capitalizar las apuestas de valor esperado positivo, lo que le permite aprovechar al máximo las probabilidades favorables.
  • Evitar la ruina: El Criterio de Kelly le protege intrínsecamente del riesgo de ruina al desalentar las apuestas demasiado agresivas que podrían acabar con su bankroll. Garantiza que nunca apueste demasiado, preservando su capacidad para seguir apostando incluso después de una pérdida.

Gestión del riesgo

Otro beneficio significativo del Criterio de Kelly es su énfasis en la gestión del riesgo. La fórmula está estructurada para minimizar la probabilidad de pérdidas catastróficas, lo que la hace especialmente atractiva para los jugadores e inversores con aversión al riesgo.

  • Exposición controlada: El Criterio de Kelly limita su exposición a una sola apuesta, asegurando que no arriesga más de una fracción calculada de su bankroll. Esta exposición controlada ayuda a gestionar los riesgos inherentes al juego, especialmente en mercados volátiles o juegos de azar.
  • Preservación del capital: El Criterio de Kelly le ayuda a preservar su capital evitando apuestas demasiado grandes. Esta preservación es crucial en el juego y la inversión, donde el mantenimiento de un bankroll o cartera es necesario para seguir jugando el juego y la composición de su riqueza en el tiempo.

Toma de decisiones objetiva y racional

El Criterio de Kelly aporta un nivel de objetividad al juego y a la inversión que puede ser difícil de alcanzar de otro modo. Sustituye la toma de decisiones emocionales por una estrategia clara y racional basada en principios matemáticos.

  • Eliminación de prejuicios: Dado que el Criterio de Kelly se basa en fórmulas, elimina gran parte de los prejuicios emocionales que pueden nublar el juicio. Tanto si confía demasiado en una apuesta en particular como si es demasiado cauto, el Criterio de Kelly proporciona una perspectiva neutral y objetiva sobre cuánto apostar.
  • Coherencia: El Criterio de Kelly promueve un comportamiento consistente en las apuestas. Al seguir la fórmula, se mantiene un enfoque disciplinado de las apuestas, evitando cambios erráticos en el tamaño de la apuesta que podrían conducir a resultados subóptimos.

Flexibilidad en diferentes escenarios

Aunque se desarrolló originalmente para los juegos de azar, la versatilidad del Criterio de Kelly lo hace aplicable en diversos contextos, incluidas las inversiones financieras.

  • Aplicación en inversiones: Los inversores utilizan el Criterio de Kelly para determinar la asignación óptima de activos en una cartera. Aplicando la fórmula, pueden decidir cuánto invertir en cada activo para maximizar el crecimiento de la cartera al tiempo que gestionan el riesgo.
  • Adaptación a diferentes juegos: El Criterio de Kelly puede adaptarse a distintos escenarios de juego, desde las apuestas deportivas hasta los juegos de casino. Sus principios siguen siendo coherentes en los distintos juegos, lo que la convierte en una estrategia de aplicación universal para cualquier situación en la que se conozcan las probabilidades.

Crecimiento compuesto

El Criterio de Kelly aprovecha el crecimiento compuesto, en el que las ganancias se reinvierten para generar más ganancias. Al maximizar la tasa de crecimiento de su bankroll, el Criterio de Kelly le permite aprovechar al máximo el poder de la capitalización.

  • Crecimiento exponencial: Con el tiempo, incluso las pequeñas ventajas pueden conducir a una acumulación significativa de riqueza cuando se componen. El Criterio de Kelly optimiza el tamaño de sus apuestas para asegurarse de que está aprovechando al máximo sus rachas ganadoras y minimizando el impacto de las pérdidas, lo que lleva a un crecimiento exponencial de su bankroll.

Críticas y limitaciones

Aunque el Criterio de Kelly es una herramienta poderosa para optimizar el tamaño de las apuestas y gestionar el riesgo, tiene críticas y limitaciones. Comprender estos inconvenientes es crucial para cualquiera que considere el Criterio de Kelly en el juego o la inversión.

A continuación, exploraremos los principales retos y dificultades potenciales de esta estrategia.

Fluctuaciones en los fondos

Una de las principales críticas al Criterio de Kelly es su potencial para causar fluctuaciones significativas en su bankroll, especialmente a corto plazo. Dado que la fórmula sugiere apostar un porcentaje de su bankroll en función de la ventaja percibida, a veces puede recomendar apuestas relativamente grandes.

  • Volatilidad: El Criterio de Kelly puede provocar grandes oscilaciones en su bankroll, especialmente si se encuentra con una racha de mala suerte. Aunque la estrategia está diseñada para maximizar el crecimiento a largo plazo, estas fluctuaciones a corto plazo pueden ser estresantes y pueden llevar a algunos jugadores a abandonar la estrategia prematuramente.
  • Impacto emocional: Las grandes fluctuaciones también pueden tener un impacto psicológico. Ver que su bankroll desciende significativamente tras una racha perdedora puede tentarle a desviarse de la estrategia o a asumir riesgos innecesarios para recuperar las pérdidas.

Errores de estimación

La precisión del Criterio de Kelly depende en gran medida de la exactitud de sus estimaciones de probabilidad. Si juzga mal la probabilidad de ganar una apuesta (el valor 𝑝 p), la fórmula podría sugerir un tamaño de apuesta inadecuado.

  • Probabilidades inexactas: Si su estimación de la probabilidad de ganar es demasiado optimista, el Criterio de Kelly podría recomendarle apostar demasiado de su bankroll, aumentando el riesgo de pérdidas significativas. Por el contrario, si su estimación es demasiado conservadora, podría perder la oportunidad de maximizar sus ganancias.
  • Dificultad de estimación: Estimar con precisión las probabilidades puede ser un reto, especialmente en juegos complejos o escenarios de inversión donde hay muchas variables a considerar. El Criterio de Kelly asume que usted tiene un conocimiento preciso de las probabilidades, lo que no siempre es el caso en situaciones del mundo real.

Apuestas excesivas y apuestas insuficientes

El Criterio de Kelly está diseñado para maximizar el crecimiento a largo plazo, pero si se aplica incorrectamente, puede llevar a apostar demasiado o poco, lo que puede ser perjudicial.

  • Riesgo de sobreapuesta: Si sobreestima su ventaja, el Criterio de Kelly puede sugerir un tamaño de apuesta demasiado grande, lo que le pone en riesgo de perder una parte significativa de su bankroll en una sola apuesta. Este riesgo es particularmente alto en escenarios donde las probabilidades son volátiles o inciertas.
  • Consecuencias de no apostar lo suficiente: Por otro lado, si subestima su ventaja, el Criterio de Kelly le sugerirá un tamaño de apuesta menor, lo que significa que no está aprovechando plenamente las situaciones favorables. Aunque esto es más seguro, puede ralentizar el crecimiento de su bankroll con el tiempo.

No es adecuado para todos los estilos de apuesta

El Criterio de Kelly asume que usted está haciendo apuestas repetidas a lo largo del tiempo, con cada apuesta siendo una fracción de su bankroll total. Sin embargo, es posible que esta estrategia no se adapte a todos los tipos de apostantes o inversores.

  • Apuestas únicas: El Criterio de Kelly es menos efectivo para apuestas únicas o poco frecuentes, con oportunidades limitadas de acumular ganancias. En estos casos, una estrategia diferente podría ser más apropiada.
  • Jugadores de alto riesgo: Para los jugadores que prefieren apuestas de alto riesgo y alta recompensa, el enfoque conservador del Criterio de Kelly puede no coincidir con su estilo. Estos jugadores pueden encontrar los tamaños de apuesta sugeridos demasiado pequeños y la estrategia demasiado cautelosa para su gusto.
  • Fondos pequeños: Para aquellos con bankrolls pequeños, el Criterio de Kelly puede recomendar tamaños de apuesta que parecen poco prácticos, especialmente en situaciones en las que la ventaja es mínima. En estos casos, la aplicación práctica de la fórmula puede ser limitada.

Aplicación complicada

Aunque el Criterio de Kelly es matemáticamente sencillo, su aplicación práctica puede ser compleja, especialmente en entornos dinámicos como los mercados financieros.

  • Cálculos complejos: Cuando las cuotas y las probabilidades cambian constantemente, calcular el tamaño óptimo de la apuesta utilizando el Criterio de Kelly puede resultar complicado y llevar mucho tiempo. Esta complejidad puede disuadir a algunos de utilizar la estrategia de forma sistemática.
  • Datos necesarios: Para aplicar eficazmente el Criterio de Kelly es necesario tener acceso a datos precisos sobre probabilidades y cuotas, que no siempre están disponibles. Por ejemplo, en los mercados financieros, los datos necesarios pueden ser difíciles de obtener o interpretar correctamente.

Kelly fraccionario como solución

Para abordar algunas de estas limitaciones, muchos jugadores e inversores optan por una estrategia de Kelly fraccional, en la que apuestan sólo una fracción (por ejemplo, la mitad o un cuarto) de la cantidad sugerida por el Criterio de Kelly.

  • Volatilidad reducida: Kelly fraccional ayuda a mitigar el riesgo de grandes fluctuaciones en su bankroll, proporcionando una curva de crecimiento más suave con altibajos menos dramáticos.
  • Menor riesgo de sobreapuesta: Al apostar menos que la cantidad Kelly completa, se reduce el riesgo de sobreapuesta debido a errores de estimación o probabilidades inexactas. Este enfoque ofrece una forma más conservadora de beneficiarse del Criterio Kelly a la vez que se gestiona el riesgo.

Comprender los puntos fuertes y las limitaciones del Criterio Kelly le ayudará a decidir cuándo y cómo utilizar esta estrategia con eficacia.

Consejos prácticos para aplicar el Criterio de Kelly

El Criterio de Kelly es una estrategia poderosa, pero su eficacia depende de lo bien que se aplique. Tanto si es usted un jugador que busca maximizar sus ganancias como si es un inversor que aspira a un crecimiento constante de su cartera, seguir estos consejos prácticos puede ayudarle a aplicar el Criterio de Kelly con éxito.

1. 1. Empiece con estimaciones de probabilidad precisas

El criterio de Kelly es tan bueno como las estimaciones de probabilidad que introduzca. La precisión de estas estimaciones es crucial porque la fórmula se basa en ellas para determinar el tamaño óptimo de la apuesta.

  • Investigue a fondo: Tómese el tiempo necesario para investigar y recopilar datos que le permitan realizar estimaciones fundamentadas. Tanto si apuestas en deportes, como si juegas en un casino o inviertes en bolsa, comprender los factores que influyen en los resultados es clave para hacer predicciones precisas.
  • Utilice datos históricos: Cuando sea posible, base sus estimaciones en datos históricos en lugar de en la intuición. Por ejemplo, en las apuestas deportivas, analiza las actuaciones pasadas, las estadísticas de los jugadores y otros datos relevantes para evaluar la probabilidad de ganar.
  • Sea conservador: Si no está seguro de la exactitud de sus estimaciones, a menudo es mejor ser conservador. Sobreestimar tus probabilidades de ganar puede llevarte a realizar apuestas más grandes de lo óptimo, lo que aumenta el riesgo de sufrir pérdidas significativas.

2. Considere el uso de Kelly fraccionario

Aunque el Criterio de Kelly completo pretende maximizar el crecimiento a largo plazo, puede resultar agresivo, especialmente en mercados o juegos volátiles. Muchos jugadores e inversores optan por utilizar un criterio de Kelly fraccional para reducir el riesgo.

  • Menor volatilidad: Apostando o invirtiendo una fracción de lo que sugiere el Criterio de Kelly -como la mitad o una cuarta parte- se reduce la volatilidad de su bankroll o cartera. Este enfoque suaviza los altibajos, lo que facilita el mantenimiento de la estrategia a lo largo del tiempo.
  • Encuentre su nivel de comodidad: La fracción óptima a utilizar depende de su tolerancia al riesgo. Si eres más reacio al riesgo, podrías elegir una fracción más pequeña, como 0,25 Kelly, mientras que aquellos con una mayor tolerancia al riesgo podrían optar por 0,5 Kelly.

3. Recalcule periódicamente el tamaño de las apuestas

El Criterio Kelly es dinámico, lo que significa que el tamaño de apuesta recomendado cambia a medida que su bankroll crece o disminuye y a medida que cambian las probabilidades.

  • Recalcule después de cada apuesta: Para beneficiarse plenamente del Criterio Kelly, recalcule el tamaño de su apuesta después de cada apuesta. Esto asegura que su estrategia se adapta a los cambios en su bankroll y las probabilidades de futuras apuestas.
  • Ajústese a la nueva información: A medida que disponga de nueva información (por ejemplo, cambios en las condiciones del mercado, lesiones de los jugadores o nuevos datos de inversión), actualice sus estimaciones de probabilidad y vuelva a calcular el tamaño de apuesta óptimo en consecuencia.

4. Gestione los factores emocionales y psicológicos

Aplicar el Criterio de Kelly requiere disciplina, especialmente cuando se afrontan pérdidas o periodos de malos resultados. Gestionar los aspectos emocionales y psicológicos del juego o la inversión es crucial para ceñirse a la estrategia.

  • Manténgase disciplinado: Es importante seguir la fórmula del Criterio de Kelly con constancia, incluso durante las rachas perdedoras. Desviarse de la estrategia debido a reacciones emocionales puede conducir a decisiones subóptimas.
  • Establezca límites: Establezca directrices claras sobre cuándo dejar de apostar o invertir, especialmente si alcanza un límite de pérdidas predeterminado. Así evitará perseguir las pérdidas o tomar decisiones precipitadas.
  • Revise los resultados: Revise periódicamente su rendimiento para evaluar si sus estimaciones de probabilidad y el tamaño de sus apuestas son correctos. Esto puede ayudarle a refinar su estrategia y a mantenerse centrado en el crecimiento a largo plazo.

5. Combinar con otras estrategias

El Criterio de Kelly es una herramienta valiosa, pero no tiene por qué utilizarse de forma aislada. Combinarlo con otras estrategias puede aumentar su eficacia.

  • Diversificación: A la hora de invertir, combine el Criterio de Kelly con estrategias de diversificación para repartir el riesgo entre varios activos. Esto puede ayudar a proteger su cartera de la volatilidad del mercado y reducir el impacto de malas apuestas o inversiones individuales.
  • Cobertura: Considere la posibilidad de cubrir sus apuestas para protegerse de posibles pérdidas en el juego o la inversión. Por ejemplo, si apuesta por un equipo deportivo, puede cubrirse haciendo una apuesta menor por el equipo contrario para minimizar las pérdidas si su apuesta principal no gana.
  • Herramientas de gestión del riesgo: Utiliza herramientas de gestión del riesgo, como las órdenes stop-loss en el trading o el establecimiento de límites máximos de pérdidas en las apuestas, para proteger tu bankroll o cartera de caídas significativas.

6. Comprender los límites del criterio de Kelly

Por último, es importante reconocer que el Criterio de Kelly no es un camino garantizado hacia el éxito. Comprender sus limitaciones puede ayudarle a utilizarlo con mayor eficacia.

  • No es infalible: El Criterio de Kelly asume que sus estimaciones de probabilidad son exactas y que las probabilidades son favorables. Si estas suposiciones son incorrectas, la estrategia podría no funcionar como se espera.
  • Dinámica del mercado y del juego: Las condiciones pueden cambiar rápidamente en entornos dinámicos como los mercados financieros o los escenarios competitivos de juego. El Criterio de Kelly no tiene en cuenta los cambios repentinos, por lo que es importante mantenerse adaptable y estar preparado para ajustar su estrategia.
  • Fluctuaciones a corto plazo: Aunque el Criterio de Kelly se centra en el crecimiento a largo plazo, no elimina las fluctuaciones a corto plazo. Esté preparado para los periodos de volatilidad y no abandone la estrategia durante las caídas temporales.

El Criterio de Kelly es una estrategia potente y matemáticamente sólida para optimizar el tamaño de las apuestas y gestionar el riesgo, tanto en el juego como en la inversión. Aplicando cuidadosamente la fórmula y siguiendo los consejos prácticos descritos anteriormente, puede maximizar su crecimiento a largo plazo y, al mismo tiempo, minimizar los riesgos de las grandes apuestas o inversiones.

Sin embargo, la eficacia del Criterio de Kelly depende en última instancia de su capacidad para estimar las probabilidades con precisión, gestionar los factores emocionales y adaptar la estrategia a sus circunstancias específicas. Ya sea en el casino o gestionando una cartera, el Criterio de Kelly ofrece un enfoque disciplinado para la toma de decisiones que puede conducir a un éxito significativo a lo largo del tiempo.

Puede probar el Criterio de Kelly mientras juega a varios juegos en los siguientes casinos en línea.

Casino Los métodos de retirada Las monedas soportadas
VISA
Bank Transfer
Skrill
+6
$, €, ₽, ₴
WebMoney
VISA
ЮMoney (Yandex-Деньги)
+10
$, €, ₽, C$, ¥, kr
WebMoney
VISA
ЮMoney (Yandex-Деньги)
+7
$, €, ₽, ₴
VISA
Bank Transfer
Neteller
+7
$, €, £
VISA
Skrill
Neteller
+1
$, €, ₽, M, AMD, Br, R$, Ft, ლ, kr, ₪, Rs., KZT, C$, сом, ¥, Ls, MDL, zł, L, TJS, TMM, UZS, ₴, kn, Kc, ₣, R, ؋

Reflexiones finales

El Criterio de Kelly ofrece un enfoque sistemático y matemáticamente fundamentado para apostar e invertir que puede mejorar significativamente el crecimiento a largo plazo. Sin embargo, como cualquier estrategia, no está exenta de dificultades. Comprender sus principios, aplicarlos correctamente y conocer sus limitaciones son cruciales para el éxito.

Si busca una estrategia que combine el potencial de altos rendimientos con una sólida gestión del riesgo, el Criterio Kelly puede ser la elección correcta. Ya sea haciendo apuestas en el casino, gestionando una cartera de inversiones o tomando decisiones empresariales, el Criterio de Kelly proporciona un marco disciplinado para ayudarle a alcanzar sus objetivos financieros.

En última instancia, la decisión de utilizar el Criterio de Kelly depende de su tolerancia individual al riesgo, sus objetivos financieros y su comodidad con las complejidades inherentes a la estrategia. Si considera detenidamente estos factores, podrá determinar si el Criterio Kelly se ajusta a su enfoque del juego o la inversión y, en caso afirmativo, cómo aplicarlo eficazmente para obtener resultados óptimos.

Preguntas frecuentes

📝 ¿Qué es el criterio de Kelly?

El Criterio de Kelly es una fórmula matemática utilizada para determinar el tamaño óptimo de una serie de apuestas o inversiones para maximizar el crecimiento a largo plazo al tiempo que se gestiona el riesgo. Calcula la proporción ideal de su bankroll para apostar en función de la probabilidad de ganar y las probabilidades ofrecidas.

🎲 ¿El Criterio de Kelly es sólo para los juegos de azar?

El criterio de Kelly también se utiliza mucho en los mercados financieros y de inversión. Los inversores lo utilizan para asignar capital entre distintos activos, maximizando el crecimiento de la cartera al tiempo que gestionan el riesgo. Es aplicable en cualquier escenario en el que las decisiones impliquen equilibrar riesgo y recompensa, como la inversión en bolsa, la gestión de carteras y las aventuras empresariales.

💲 ¿Cuáles son las principales ventajas de utilizar el Criterio de Kelly?

Crecimiento maximizado: El Criterio Kelly está diseñado para maximizar el crecimiento a largo plazo de su bankroll o cartera. Gestión del riesgo: Limita de forma natural la cantidad que arriesgas en cada apuesta, reduciendo la probabilidad de pérdidas significativas. Matemáticamente probado: El Criterio de Kelly tiene una sólida base matemática, por lo que es una estrategia fiable para la acumulación de riqueza a largo plazo.

❔ ¿Cuáles son las limitaciones del criterio de Kelly?

Dependencia de la precisión: La estrategia depende en gran medida de la precisión de las estimaciones de probabilidad. Las estimaciones imprecisas pueden dar lugar a apuestas de tamaño inadecuado. Volatilidad: El Criterio de Kelly puede provocar fluctuaciones significativas en su bankroll, especialmente si se aplica de forma agresiva. Complejidad: Para algunos, los cálculos y ajustes regulares requeridos por el Criterio de Kelly pueden ser complejos y llevar mucho tiempo.

📃 ¿Qué es el Kelly fraccional y por qué podría utilizarlo?

Kelly fraccional implica apostar una fracción de lo que recomienda el Criterio de Kelly completo (por ejemplo, medio Kelly o un cuarto de Kelly). Este enfoque reduce la volatilidad de su bankroll y el riesgo de grandes pérdidas, por lo que es una estrategia más conservadora. Suelen utilizarla quienes tienen menor tolerancia al riesgo o en entornos muy volátiles.

🤔 ¿Cómo puedo estimar probabilidades con precisión para el Criterio de Kelly?

La estimación precisa de las probabilidades es crucial. Puede estimar las probabilidades utilizando datos históricos, análisis estadísticos y conocimientos de expertos. Por ejemplo, tenga en cuenta los resultados anteriores, las estadísticas de los jugadores y otros factores relevantes en las apuestas deportivas. En las inversiones, analice los datos del mercado, los indicadores económicos y los informes financieros.

🙋‍♂️ ¿Puede utilizarse el Criterio de Kelly para apuestas únicas?

El Criterio de Kelly es más eficaz para apuestas o inversiones repetidas en las que los resultados son independientes y existe una perspectiva a largo plazo. Puede que no sea tan útil para apuestas únicas, ya que la fuerza de la estrategia reside en la capitalización de los rendimientos a lo largo de varias rondas.

🤚 ¿Debo seguir siempre a rajatabla el Criterio de Kelly?

El Criterio de Kelly es una directriz, no una regla, que debe seguirse estrictamente. Puede optar por ajustar la estrategia en función de su tolerancia al riesgo, sus objetivos financieros y las condiciones del mercado. Muchas personas optan por un enfoque Kelly fraccionado para reducir el riesgo y suavizar la volatilidad. Es importante adaptar la estrategia a sus necesidades y circunstancias específicas.

👈 ¿Cuáles son algunos errores comunes al utilizar el Criterio de Kelly?

Sobrestimar las probabilidades: Esto puede llevar a apostar demasiado, aumentando el riesgo de pérdidas significativas. Ignorar la dinámica del mercado o del juego: No tener en cuenta los cambios en las probabilidades o las condiciones del mercado puede dar lugar a decisiones subóptimas. Reacciones emocionales: Desviarse de la estrategia debido a las emociones, como después de una racha perdedora, puede socavar su eficacia.

Denis Anipchenko
Denis Anipchenko
Redactor jefe y experto en juegos de azar en línea

Denis es un auténtico profesional con muchos años de experiencia en el sector del juego. Su carrera comenzó a finales de los noventa, cuando trabajó como crupier, jefe de boxes, gerente y director de casino. Esta experiencia única le permitió conocer a fondo el mundo del juego desde dentro. Desde finales de los años noventa, Denis se ha dedicado a escribir artículos y análisis sobre el juego, y desde principios de los años diez se ha convertido en una figura clave del equipo de Casinoz. Aquí no sólo escribe y edita contenidos, sino que también crea reseñas, comparte su experiencia y ayuda a los lectores a comprender los entresijos del juego. Denis combina experiencia práctica y conocimientos profundos, lo que le convierte en uno de los expertos más respetados del sector. Sus escritos son siempre información actualizada, contrastada y útil para cualquier persona interesada en el mundo de los casinos.

An expert in:
  • operaciones de casino
  • gestión
  • análisis del juego
  • RTP
  • volatilidad
  • normativa
  • tendencias
  • reseñas
  • editorial
  • experiencia
Facts checked Alex Vasilev Editor científico y verificador de hechos
Escriba un comentario
Son escritos 0 símbolos, mínimo 50, maximo 2000
Precio
Tasó
0/10